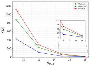
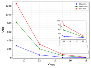
An exposure time calculator (ETC) is currently being developed. This will include a graphical interface. Preliminary and conservative estimates are reported below for the three HRMOS spectral ranges.



The SNR is shown as a function of different Vega Magnitude for G0V star with an integration time of 3600 seconds.
A G0V star with a Vega Magnitude of 10, observed with an integration time of 3600 seconds, is shown across the three different arms (blue, green, and red lines).
The SNR is shown as a function of different Vega Magnitude for a K2V star with an integration time of 3600 seconds.